 
									
Por Patricio Gallardo M.
Con la finalidad de mantenerlo informado de la situación regional, y del valle del Aconcagua a diario estamos tratando de entregar información actualizada y oficial a través del seremi de salud, Francisco Alvarez sobre el avance del Covid-19 en nuestra region.
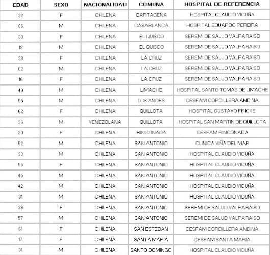
Según lo informado por el seremi de salud Francisco Álvarez, en las últimas 24 horas se detectaron 71 casos nuevos lo que da un total a nivel regional de 828 confirmados, 11.450 descartados, 162 recuperados (3 nuevos), 18 hospitalizados UCI y un nuevo fallecido de la comuna de Quillota.


Con la finalidad de mantenerlo informado de la situación regional, y del valle del Aconcagua a diario estamos tratando de entregar información actualizada y oficial a través del seremi de salud, Francisco Alvarez sobre el avance del Covid-19 en nuestra region.

 
					 
					 
																			 
																			 
																			 
																			 
																			 
																			 
																			 
																			 
																			 
																			 
																			 
																			